为贯彻落实党的教育方针,充分发挥正面的激励导向作用,全面推进素质教育, 健全和完善育人机制, 根据《中南林业科技大学涉外学院学生手册》有关规定, 结合《中南林业科技大学涉外学院本科学生综合素质测 评办法( 试行)》, 经研究决定在全校开展 2019-2020 学年校级奖学金评选工作。
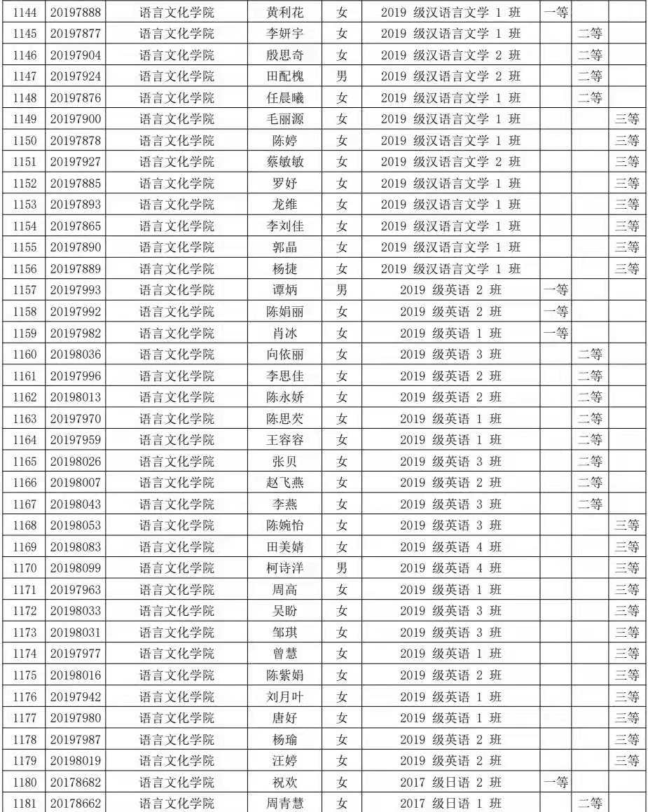
经学生本人申请,班级、辅导员组织选拔推荐,二级学院初审报送至学工处,学工处组织复审并报送至校级荣誉评审委员会评议通过, 本次校级奖学金初步评选的具体名单如下:
荣誉学子奖学金

阳光奖学金

优秀学生



公示期为2021年1月12日至2021年1月18日,如有异议,请在公示期内向语言文化学院反映,反映问题要坚持实事求是的原则。
邮箱:znlswzz2020@163.com
电话:073189814018